Poster AI творческая афиша нейросети, помощник дизайнера
- Authors: 1
-
Affiliations:
- Самарский государственный технический университет
- Issue: Vol 1 (2024)
- Pages: 372-373
- Section: ЧАСТЬ I. Цифровые технологии: настоящее и будущее
- URL: https://jdigitaldiagnostics.com/osnk-sr2024/article/view/632859
- ID: 632859
Cite item
Full Text
Abstract
Обоснование. Основываясь на данных, полученных в ходе опроса графических дизайнеров, имеющих опыт работы более трех лет, выяснилось, что создание инновационного подхода к созданию дизайнов афиш с помощью нейронных сетей достаточно хорошая идея. Среди опрошенных выявилась проблема, что часть дизайнеров считает работу по созданию афиш рутинной и малооплачиваемой работой, из чего дизайнеры хотели бы затрачивать как можно меньше времени на данную работу. Хотя и аналогов на рынке много, но все они достаточно дорогостоящее удовольствие. Часть дизайнеров призналась, что пользуется услугами нейронных сетей по генерации изображений, но эта нейронная сеть не от аналогов, а сделана собственноручно, из чего делаем вывод, что создание доступной для всех нейронной сети значительно снизит нагрузку на дизайнеров и увеличит количество интересных дизайнов постеров и афиш.
Цель — создание нейронной сети, обучающейся на набросках и конечных рисунках студентов архитектурного направления Самарского государственного технического университета.
Методы. Вопросы применения технологий искусственного интеллекта в искусстве подробно рассматривались одним из авторов [1]. Эта работа посвящена непосредственному применению в конкретной, прикладной задаче. Пробная версия нейронной сети и работа в базе данных GAN — это класс глубоких нейронных сетей. Они представляют собой инновационный подход к генерации данных, который позволяет создавать новые образцы данных, например изображения или тексты. Поэтому основной стек используемых технологий таков: Keras [1], TensorFlow [2], PyTorch [3], Python [4, 5].
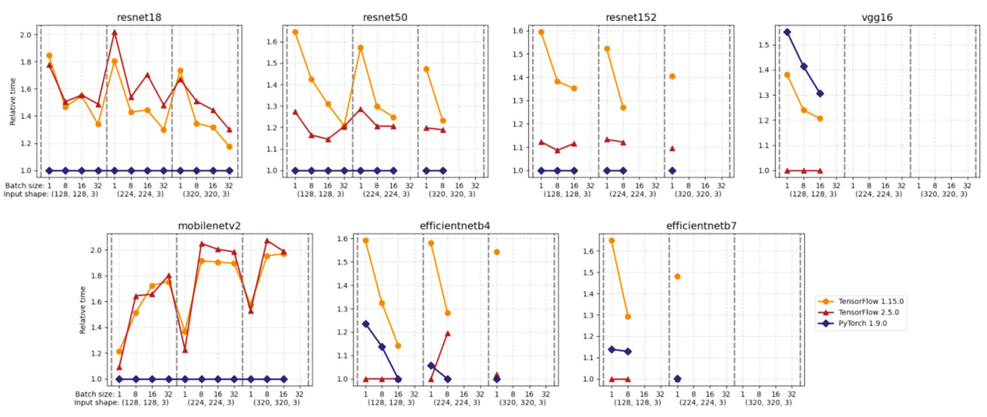
Выбор одного из этих инструментов зависит от его времени работы, поэтому стоит попробовать каждый и сравнить их результаты работы (рис. 1).
Рис. 1. Среднее время шага обучения
Результаты. Предложены различные варианты созданной программы, основанных с использованием различных инструментов. В одном варианте используется библиотека PyTorch для машинного обучения, а в другом библиотека Keras, в третьем TensorFlow. Каждый вариант обладает своими плюсами и минусами, один может быть более производительным, другой — более гибким.
В итоге обучения сети становятся лучше в своих задачах. Генератор начинает создавать более реалистичные данные, а дискриминатор становится более точным в их различении (рис. 2). Этот процесс продолжается до тех пор, пока генератор не научится создавать данные, неотличимые от реальных, или пока дискриминатор не перестанет различать между реальными и сгенерированными данными, а применение GAN включает генерацию фотореалистичных изображений, создание реалистичных анимированных персонажей, улучшение качества изображений и многое другое.
Рис. 2. Возможный результат работы нейронной сети
Выводы. Данная нейронная сеть может быть реализована разными инструментами, но при этом каждый из методов имеет свою уникальность. Эти эксперименты показали, что ее создание абсолютно возможно. Дизайнеры в скором времени будут иметь инструмент, который очень сильно сможет облегчить работу, убрав часть рутины. Единственный барьер для ее создания — это развернуть его на сервере, где его нужно постоянно поддерживать, а также создание своего собственного сайта, для более простой работы с этой нейронной сетью.
Keywords
Full Text
Обоснование. Основываясь на данных, полученных в ходе опроса графических дизайнеров, имеющих опыт работы более трех лет, выяснилось, что создание инновационного подхода к созданию дизайнов афиш с помощью нейронных сетей достаточно хорошая идея. Среди опрошенных выявилась проблема, что часть дизайнеров считает работу по созданию афиш рутинной и малооплачиваемой работой, из чего дизайнеры хотели бы затрачивать как можно меньше времени на данную работу. Хотя и аналогов на рынке много, но все они достаточно дорогостоящее удовольствие. Часть дизайнеров призналась, что пользуется услугами нейронных сетей по генерации изображений, но эта нейронная сеть не от аналогов, а сделана собственноручно, из чего делаем вывод, что создание доступной для всех нейронной сети значительно снизит нагрузку на дизайнеров и увеличит количество интересных дизайнов постеров и афиш.
Цель — создание нейронной сети, обучающейся на набросках и конечных рисунках студентов архитектурного направления Самарского государственного технического университета.
Методы. Вопросы применения технологий искусственного интеллекта в искусстве подробно рассматривались одним из авторов [1]. Эта работа посвящена непосредственному применению в конкретной, прикладной задаче. Пробная версия нейронной сети и работа в базе данных GAN — это класс глубоких нейронных сетей. Они представляют собой инновационный подход к генерации данных, который позволяет создавать новые образцы данных, например изображения или тексты. Поэтому основной стек используемых технологий таков: Keras [1], TensorFlow [2], PyTorch [3], Python [4, 5].
Выбор одного из этих инструментов зависит от его времени работы, поэтому стоит попробовать каждый и сравнить их результаты работы (рис. 1).
Рис. 1. Среднее время шага обучения
Результаты. Предложены различные варианты созданной программы, основанных с использованием различных инструментов. В одном варианте используется библиотека PyTorch для машинного обучения, а в другом библиотека Keras, в третьем TensorFlow. Каждый вариант обладает своими плюсами и минусами, один может быть более производительным, другой — более гибким.
В итоге обучения сети становятся лучше в своих задачах. Генератор начинает создавать более реалистичные данные, а дискриминатор становится более точным в их различении (рис. 2). Этот процесс продолжается до тех пор, пока генератор не научится создавать данные, неотличимые от реальных, или пока дискриминатор не перестанет различать между реальными и сгенерированными данными, а применение GAN включает генерацию фотореалистичных изображений, создание реалистичных анимированных персонажей, улучшение качества изображений и многое другое.
Рис. 2. Возможный результат работы нейронной сети
Выводы. Данная нейронная сеть может быть реализована разными инструментами, но при этом каждый из методов имеет свою уникальность. Эти эксперименты показали, что ее создание абсолютно возможно. Дизайнеры в скором времени будут иметь инструмент, который очень сильно сможет облегчить работу, убрав часть рутины. Единственный барьер для ее создания — это развернуть его на сервере, где его нужно постоянно поддерживать, а также создание своего собственного сайта, для более простой работы с этой нейронной сетью.
About the authors
Самарский государственный технический университет
Author for correspondence.
Email: andrew.isaev.2005@bk.ru
студент
Russian Federation, СамараReferences
- Михайлова Е.Ю., Камальдинова З.Ф. К вопросу применения искусственного интеллекта. В кн.: Сборник статей Национальной научно-практической конференции с международным участием: «Цифровые технологии: настоящее и будущее». Тольятти, 2022. С. 202–211.
- Джулли А., Пал С. Библиотека Keras — инструмент глубокого обучения. Реализация нейронных сетей с помощью библиотек Theano и TensorFlow. 2017. 294 с.
- Singh P., Manure A. Learn TensorFlow 2.0: Implement machine learning and deep learning models with Python. Apress, 2020. 180 p.
- Антига Л., Виман Т., Стивенс Э. PyTorch. Освещая глубокое обучение. Санкт-Петербург: Питер, 2002.
- Гэддис Т. Начинаем программировать на Python. 5-е изд. 2022.
Supplementary files





