Impact of body mass index on the reliability of the CT0–4 grading system: a comparison of computed tomography protocols
- Authors: Blokhin I.A.1, Gonchar A.P.1, Kodenko M.R.1,2, Solovev A.V.1, Gombolevskiy V.A.3, Reshetnikov R.V.1,4
-
Affiliations:
- Moscow Center for Diagnostics and Telemedicine
- Bauman Moscow State Technical University
- Artificial Intelligence Research Institute
- The First Sechenov Moscow State Medical University (Sechenov University)
- Issue: Vol 3, No 2 (2022)
- Pages: 108-118
- Section: Original Study Articles
- Submitted: 02.03.2022
- Accepted: 26.05.2022
- Published: 14.07.2022
- URL: https://jdigitaldiagnostics.com/DD/article/view/104358
- DOI: https://doi.org/10.17816/DD104358
- ID: 104358
Cite item
Abstract
BACKGROUND: The increased frequency of chest computed tomography utilization in the fight against COVID-19 has made usage of low-dose computed tomography necessary to reduce the radiation dose while preserving diagnostic quality. However, in the published literature, there were no data on the effect of body mass index on low-dose computed tomography accuracy in patients with COVID-19.
AIM: To assess the effect of patient body mass index on the level of agreement between radiologists interpreting standard-dose computed tomography and low-dose computed tomography in COVID-19-associated pneumonia using visual semiquantitative CT 0–4 scale.
MATERIALS AND METHODS: In this retrospective multicenter study, each participant underwent two consecutive chest scans at a single visit using standard-dose and low-dose protocols. Standard-dose and low-dose computed tomography with pulmonary and soft tissue kernels were interpreted using a visual semiquantitative CT 0–4 grading system. Data for each protocol were grouped by body mass index value (threshold value for pathology was equal to 25 kg/m2). Agreement was calculated based on binary and weighted classifications. One-way ANOVA analysis of variance was used to assess the presence of statistically significant differences in the mean for the groups.
RESULTS: Two hundred thirty patients met the established inclusion criteria for the study. The experts processed 4 studies for each patient: standard-dose and low-dose computed tomography with pulmonary and soft tissue kernels. The proportion of normal-weight patients was 31% (71 subjects), and the sample’s median body mass index was 27.5 (18.3; 48.3) kg/m2. There were no statistically significant differences in intergroup pairwise comparisons for both the binary and weighted classifications (p values were 0.09 and 0.12, respectively). The group of overweight patients was further subdivided according to the degrees of obesity; however, the results were invariant to this division (no statistically significant differences: for the most different body mass index groups “normal” and “3rd degree obesity” p-value 0.17).
CONCLUSION: Body mass index does not affect chest standard-dose and low-dose computed tomography interpretation in COVID-19 using the visual semiquantitative CT 0–4 grading system.
Full Text
BACKGROUND
Computed tomography of the chest (chest CT) plays a unique role in the diagnosis of coronavirus disease 2019 (COVID-19) [1]. A visual semi-quantitative scale of pulmonary parenchyma damage (CT 0–4) is currently used to assess the severity and predict the course of COVID-19-associated pneumonia [2]. Considering the increased frequency of CT use in patients with COVID-19, a low-dose computed tomography (LDCT) must reduce the radiation dose while maintaining the diagnostic value of this method [3]. An LDCT is proved not to be associated with DNA damage. In contrast, a standard-dose CT was associated with an increase in DNA double-strand breaks and chromosome aberrations [4].
A high body mass index (BMI) is known to be one of the factors of an unfavorable COVID-19 infection course [5]. However, a chest LDCT has limited application in patients with BMI >35 kg/m2 [6]. A. Manowitz et al. reported previously [7] that in patients with high BMI, radiation exposure from abdominal CT could be reduced without diagnostic quality impairment. N.S. Paul et al. [8] assessed the effect of obesity on the coronary CT-angiography effectiveness and noted a strong correlation between BMI and image noise in both men (r = 0.66) and women (r = 0.85) with increased body weight. The authors concluded that when reducing radiation exposure, patient’s BMI should be considered. However, at the time of preparing this article, no data about the impact of BMI on LDCT accuracy in COVID-19 patients could be found in the literature.
This study aimed to evaluate the effect of a patient’s BMI on the reliability of standard-dose and low-dose chest CT findings in COVID-19-associated pneumonia and the accuracy of their interpretation by different radiologists using a visual semi-quantitative scale CT 0–4.
Null hypothesis
A BMI does not affect an inter-rater agreement rate when assessing the severity of COVID-19-associated pneumonia with standard-dose and low-dose chest CT using a CT 0–4 scale.
MATERIALS AND METHODS
Study design
A retrospective study was conducted using materials that were obtained in the previous prospective multicenter study, “LDCT in COVID-19 Pneumonia: a Prospective Moscow Study” (registered in ClinicalTrials.gov under NCT04379531 on April 25, 2020) [9].
Eligibility criteria
Inclusion criteria. Patients aged ≥18 yr who received treatment in two state outpatient clinics in Moscow for suspected COVID-19-associated pneumonia and symptoms of acute respiratory viral infection.
Exclusion criteria. Patients with incomplete data (height, weight, and BMI); pregnant and lactating women; patients with foreign bodies in the area to be scanned.
Conditions of the study
Each patient underwent two consecutive chest CT scans during a single visit (using standard-dose and low-dose protocol). CT findings were analyzed by 10 radiologists with 3 to 25 yr of experience, who were trained in the interpretation of COVID-19-associated pneumonia. Modified FAnTom software was used to provide online access to anonymized data for an assessment of the disease severity using the CT 0–4 scale [9, 10]. Radiologists were randomly assigned with CT and LDCT scans reconstructed using lung and soft tissue kernels with each study independently and blindly interpreted by two specialists.
Study duration
Data from chest CT and LDCT were collected from May 6 to May 22, 2020.
Description of medical interventions
A 64-slice CT scanner (Aquilion 64, Canon, Japan) was used to perform a chest CT scan without using any iterative reconstruction algorithms. Two chest CT protocols were employed: a standard-dose protocol provided by the manufacturer and a previously developed low-dose protocol for COVID-19.
For chest CT, the current is automatically adjusted over the entire scan length within the range of 40–500 mA as long as the noise level for 5.0 mm slices is 10 (standard deviation).
For chest LDCT, the current is automatically adjusted over the entire scan length in the range of 10–500 mA as long as the noise level for 5.0 mm slices is 36 (standard deviation).
Additional CT parameters (the same for CT and LDCT) are voltage (120 kV), rotation time (0.5 s), direction (outward, from the legs to the head), XY modulation (enabled), collimation (64 × 0.5 mm), and helix pitch (53.0). Scanning was performed at peak inspiratory depth. The average scanning time was 6 s (depending on individual body features). Examinations were performed without any contrast enhancement.
Image reconstruction parameters were the same for standard-dose CT and LDCT: matrix 512 × 512; D-FOV 350 mm; scanning length 300 mm; reconstruction core (kernel) FC51 (pulmonary kernel) and FC07 (soft tissue kernel); slice thickness 1.0 mm; increment 1.0 mm.
Primary study outcome
This study evaluated the impact of BMI on the quality of chest LDCT interpretation in patients with COVID-19-associated pneumonia. A standard-dose CT protocol was used as a comparison method. The results were interpreted using a visual semi-quantitative CT 0–4 scale.
Ethical review
This paper is based on a study from the Independent Ethics Committee of the Moscow Regional Branch of the Russian Society of Roentgenologists and Radiologists with approval no. 03/2020. All patients signed informed voluntary consent.
Statistical analysis
The inter-rater agreement rate for each patient was assessed by formulas (1) and (2) for the following protocols:
- standard-dose CT with lung kernel (reconstruction filter) FC51 (Sharp CT);
- standard-dose CT with soft tissue kernel (reconstruction filter) FC07 (Soft CT);
- low-dose CT with lung kernel (reconstruction filter) FC51 (Sharp LDCT);
- low-dose CT with soft tissue kernel (reconstruction filter) FC07 (Soft LDCT).
Data for each protocol were divided into two BMI groups: normal BMI (<25 kg/m2) and overweight BMI (≥25 kg/ m2) [11]. The inter-rater agreement rate for each subgroup was reported as the mean value with standard deviation.
Data were processed using R, version 4.0.4, dplyr, ggplot2, and irr packages [12].
The agreement rate was calculated as a percentage based on the absolute difference between the scores of two raters:
|Δ| = |rater1 − rater2| (1).
Disagreements were interpreted in two ways:
- Binary classification, which was not sensitive to numerical difference between scores (Δ). If there was no difference between the scores of two raters (|Δ| = 0), the agreement rate was 100%. If there was any difference between scores (|Δ| ≠ 0), the agreement rate was equal to 0%.
- A weighted classification considered a numerical differences between the scores of two raters (Δ), as well as a threshold percentage of lung damage, which was used as the reason for hospital admission:
Agreement rate = (2)
where Δ is the difference between raters’ scores for the current study according to formula (1); Δmax is the maximum possible score difference (Δmax = 4, four categories of CT 0–4 scores). In this study, the weighted agreement score was a discrete value and ranged from 0% to 100% with increments of 25%. Agreement rates of 0%, 25%, 50%, 75%, and 100% corresponded to differences in four, three, two, and one categories and complete agreement, respectively.
Statistically significant differences in means for the groups obtained were assessed by one-way analysis of variance (ANOVA) [13]. First, the quality of variances of the study groups were statistically analyzed using the Levene test [14]. Next, ANOVA was performed for the equality of means, considering data on the equality of variances. The agreement rate between radiologists was a dependent variable. A BMI (binary classification, normal weight, and overweight) and CT protocol (Sharp CT, Soft CT, Sharp LDCT, and Soft LDCT) were used as independent variables. A retrospective analysis using Tukey’s honestly significant difference (HSD) test was performed to determine numerical p-values for inter-subgroup differences, [15]. A statistical significance level of 0.05 was used for all comparisons.
RESULTS
The total number of patients selected was 231, and 230 of them were included in the study (one patient had no BMI data). In the selected cohort, 55.6% were women. The mean age of patients was 47 ± 15 yr. For each patient, CT and LDCT findings were obtained and reconstructed using pulmonary and soft tissue kernels.
The main descriptive statistics for the whole population were as follows: range (18.3; 48.3) kg/m2; median 27.5 kg/ m2, mean 27.9 ± 5.6 kg/m2; distribution did not correspond to a normal one (p-value0.01), the asymmetry coefficient was 0.9 (significant right-sided asymmetry).
The following are patient categories by BMI: non-overweight (BMI < 25 kg/m2), 31% (71); overweight (BMI ≥25 kg/m2), 69% (159).
Using the Sharp LDCT protocol, the highest agreement rate for patients with normal BMI was obtained: 83.5% and 92.8% for binary and weighted classifications, respectively (Figure 1; Table 1). The Soft LDCT protocol had the lowest agreement rate for patients with normal BMI: 64.9% and 86.9% for binary and weighted classifications, respectively.
Fig. 1. An inter-rater agreement diagram for binary (a) and weighted (b) classifications by body mass index (gray: overweight group, black: normal weight group).
Table 1. Numerical inter-rater agreement values (%) for binary (light gray) and weighted (dark gray) classifications
Value | Sharp CT | Soft CT | Sharp LDCT | Soft LDCT | ||||
Normal | Overweight | Normal | Overweight | Normal | Overweight | Normal | Overweight | |
Mean | 72.2 | 71.2 | 69.1 | 64.4 | 83.5 | 67.4 | 64.9 | 65.9 |
SD | 45.1 | 45.4 | 46.5 | 48.1 | 37.3 | 47.0 | 48.0 | 47.6 |
Mean | 89.4 | 88.4 | 88.4 | 86.4 | 92.8 | 88.3 | 86.9 | 86.4 |
SD | 18.7 | 19.6 | 19.8 | 19.9 | 16.9 | 18.4 | 19.5 | 21.3 |
For overweight patients, the highest inter-rater agreement rate was recorded for Sharp CT (71.2% and 88.4% for binary and weighted classifications, respectively). The lowest agreement rate for this group of patients was observed when using the Soft CT protocol: 64.4% and 86.4% for binary and weighted classifications, respectively) (Figure 1 and Table 1).
The greatest difference in the homogeneity of interpretations between normal weight and overweight patients was observed using the Sharp LDCT protocol (the mean difference 16.1% and 4.5% for binary and weighted classifications, respectively). The least heterogeneous interpretation was recorded when using Sharp CT and Soft LDCT protocols. The mean difference did not exceed 1% for any of the classifications (Figure 1 and Table 1).
ANOVA
A one-way ANOVA was performed to analyze differences between interpretations of radiologists based on BMI, scanning, and reconstruction protocol. This analysis demonstrated no statistically significant differences between the mean agreement rates for normal weight and overweight groups and for all four protocols using both binary classification (p = 0.13 for protocol and p = 0.18 for BMI) and weighted classification (p = 0.18 and p = 0.14, respectively).
In addition to comparing mean agreement rates, we evaluated the variability of raters’ scores depending on BMI and imaging method. With the Levene test, differences in binary and weighted classifications allow to accept the hypothesis about the equal variances in study groups.
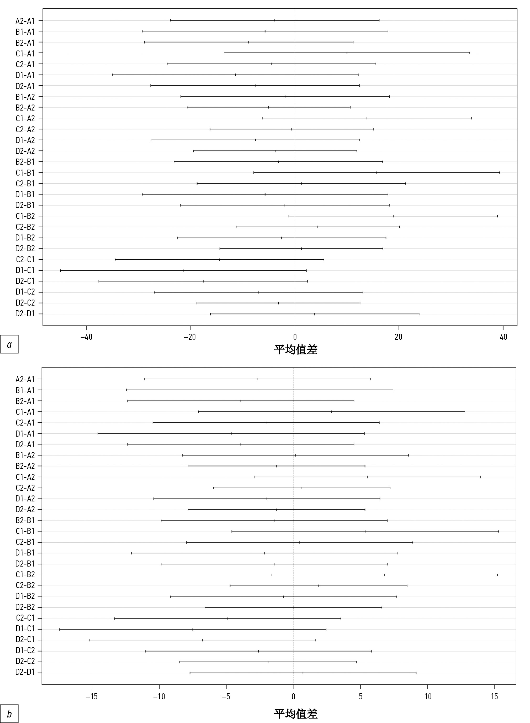
Subgroup differences were evaluated using post hoc analysis with a Tukey’s HSD test (Figure 2). For all compared pairs, 95% confidence intervals included “0” for both binary (Figure 2a) and weighted (Figure 2b) classifications. This indicates no statistically significant differences in radiologist interpretations for different BMI groups and imaging methods.
Fig. 2. A post-post-hoc analysis of our hypothesis for the similarity of means: (a) binary classification; (b) normalized classification (Sharp CT, Soft CT, Sharp LDCT, and Soft LDCT protocols are coded with A, B, C, and D, respectively; the normal weight group is coded with “1”; the overweight group is coded with “2”).
For binary classification, the minimum p-value was 0.22 for comparing Sharp LCDT in normal weight patients and Soft CT in overweight patients; the minimum p-value for one protocol was 0.65 (Sharp LDCT). For weighted classification, the minimum p-value was 0.08, and the minimum p-value for each protocol was 0.36 in similar groups.
An additional ROC-analysis (receiver operating characteristic) of study groups allowed to determine the optimal BMI threshold for predicting the level of compliance, equal to 26.24 kg/m2. For this threshold, repeated ANOVA confirmed that there were no statistically significant differences in variances (p-values were 0.13 and 0.09 for binary classification and 0.18 and 0.12 for weighted classification for protocol and BMI, respectively) and means (p-values were similar) of study groups for each protocol. For both classification types, the minimum p-value was recorded for comparing normal weight and overweight groups using the Sharp LDCT protocol, which was 0.65 and 0.15 for binary and weighted classifications, respectively.
An additional analysis was performed using the “overweight,” “class 1 obesity,” “class 2 obesity,” and “class 3 obesity” groups in consideration of the original population to “overweight” (BMI of [25; 30] kg/m2). For all protocols, the analysis showed no statistically significant differences for both types of classifications (the minimal p-value was recorded for “normal weight” and “class 1 obesity” groups, and it was 0.09 and 0.08 for binary and weighted classifications, respectively). For “normal weight” and “class 3 obesity” groups with the largest BMI difference, p-value was 0.17.
Additionally, a series of studies was analyzed with inter-rater CT 0–4 disagreements in more than one category. There were 26 series identified. After reviewing each case, these disagreements may be divided into two groups.
The first group consisted of 15 series (58%), for which both raters confirmed the presence of COVID-19-associated abnormalities (CT1 and higher score) but have disagreements regarding the degree of lung tissue damage. This may be due to the preferred scanning plane (axial, frontal, or sagittal) and direction (apices to diaphragm or diaphragm to apices), as well as to the presence of manifestations of different temporal stages of viral pneumonia, for example, simultaneously “frosted glass” and “cobblestone pavement.” Since COVID-19 pneumonia is more severe in basal lung regions, axial sliding from the diaphragm to apices can lead to an upward bias for the severity of abnormalities assessed by the rater with higher CT 0–4 score. Use of sagittal multiply or 3D reconstructions allows to “capture” these abnormalities immediately, reducing the risk of overestimating the lesion severity. Inter-rater disagreements in the first group suggested the significant effect of human factor in visual assessment of the disease severity as well as the need to study the capabilities of systems for automatic lung parenchyma densitometry.
The second group consisted of 11 series (42%), for which one of the raters did not confirm the presence of COVID-19-associated abnormalities (CT0 score). This was related to false positive cases (hypostatic changes in the basal parts of lungs with a high a priori probability of infection) as well as the fact that the CT 0–4 classification does not provide a way to express the probability of COVID-19 origin of these abnormalities. In the second group, inter-rater differences highlight the value of a joint application of CO-RADS and CT 0–4 classifications.
DISCUSSION
This study evaluated the agreement rate for assessments of chest CT and LDCT by different radiologists using a CT 0–4 scale, depending on weight and reconstruction kernel in patients with COVID-19-associated pneumonia. A comparative analysis showed no statistically significant differences. Sizes of samples compared needed to be balanced by BMI groups, so patients were divided into two classes by BMI (“normal weight” and “overweight”), which could affect the interpretation of results. An additional analysis, however, revealed the invariant qualitative result (“no statistically significant differences were found”) for the “obesity” category. Given the limitations of this study, we can conclude that BMI does not have any significant effect on the agreement rate when assessing the lung damage using a CT 0–4 scale. Therefore, the scanning protocol can be selected regardless of the patient’s BMI.
Our study provides us with the additional justification for choosing the lowest possible radiation dose for patients with COVID-19, because the increased BMI has no impact on the diagnostic quality of images when using the CT 0–4 scale, so the kernel can be selected solely at the discretion of a radiologist.
In 2016, T. Kubo et al. [16] compared the diagnostic capabilities of LDCT (50 mAc) and CT (150 mAc) for the routine chest examination. Three radiologists independently analyzed 118 2-mm image series (two series for each patient in the sample) and assessed abnormalities, such as emphysema, frosted glass, reticular changes, micronodules, bronchiectasis, honeycomb lung, nodules (>5 mm), aortic aneurysm, coronary artery calcification, pericardial and pleural effusions, pleural thickening, mediastinal masses, and enlarged lymph nodes. According to the authors’ conclusion, which is consistent with our data, the LDCT protocol can be used in the routine radiological practice.
CT scans are said to be of lower quality (with lower signal-to-noise ratio) when using the low-dose protocol compared with standard-dose CT [17]. Therefore, additional methods should be used to improve the scanning quality, especially in patients with increased body weight. One of such methods is using iterative reconstructions [18].
D.A. Filatova et al. [19] compared CT and LDCT of the chest in patients with COVID-19, using iterative reconstructions. The sample size was 151 patients. No significant losses of diagnostic information during the chest LDCT were revealed compared with the standard-dose CT, so the chest LDCT can be used in routine practice for the diagnosis of COVID-19 [19], and this confirmed our results. The aforementioned study, however, did not evaluate the effect of BMI on the scanning quality, unlike our study.
Moreover, the method using effective radiation doses <0.3 mSv and iterative reconstructions has limitations for patients with interstitial pneumonia/emphysema and BMI >25 kg/m2 [20].
Study limitations
Our study has some limitations. Only one model of CT scanner was used. The recommended protocols for other models and manufacturers may differ from those used by us. To interpret findings, only the subjective assessment of radiologists using a CT 0–4 scale was used. Our conclusions are based on the analysis of the sample, without grouping by the degree of obesity. As shown, however, the qualitative outcome was invariant for this parameter.
CONCLUSION
Therefore, considering the above limitations, we can conclude that there are no significant effects of BMI on the interpretation of the chest CT and LDCT in patients with COVID-19 using a visual semi-quantitative CT 0–4 scale.
ADDITIONAL INFORMATION
Funding source. This study was not supported by any external sources of funding.
Competing interests. The authors declare that they have no competing interests.
Authors’ contribution. All authors confirm that they meet the international ICMJE criteria for authorship (all authors made substantial contributions to the concept development, conducting the research and preparation of the article, and read and approved the final version before publication). The largest contributions were as follows: I.A. Blokhin — concept and study design, data analysis, manuscript preparation; A.P. Gonchar — manuscript preparation; M.R. Kodenko — data collection and processing, data analysis, manuscript preparation; A.V. Solovev, A.V. Gombolevskiy — manuscript preparation; R.V. Reshetnikov — research concept and design, manuscript preparation.
About the authors
Ivan A. Blokhin
Moscow Center for Diagnostics and Telemedicine
Email: i.blokhin@npcmr.ru
ORCID iD: 0000-0002-2681-9378
SPIN-code: 3306-1387
Russian Federation, Moscow
Anna P. Gonchar
Moscow Center for Diagnostics and Telemedicine
Email: a.gonchar@npcmr.ru
ORCID iD: 0000-0001-5161-6540
SPIN-code: 3513-9531
Russian Federation, Moscow
Maria R. Kodenko
Moscow Center for Diagnostics and Telemedicine; Bauman Moscow State Technical University
Author for correspondence.
Email: m.kodenko@npcmr.ru
ORCID iD: 0000-0002-0166-3768
SPIN-code: 5789-0319
Russian Federation, Moscow; Moscow
Alexander V. Solovev
Moscow Center for Diagnostics and Telemedicine
Email: a.solovev@npcmr.ru
ORCID iD: 0000-0003-4485-2638
SPIN-code: 9654-4005
Russian Federation, Moscow
Victor A. Gombolevskiy
Artificial Intelligence Research Institute
Email: g_victor@mail.ru
ORCID iD: 0000-0003-1816-1315
SPIN-code: 6810-3279
MD, Cand. Sci. (Med.)
Russian Federation, MoscowRoman V. Reshetnikov
Moscow Center for Diagnostics and Telemedicine; The First Sechenov Moscow State Medical University (Sechenov University)
Email: reshetnikov@fbb.msu.ru
ORCID iD: 0000-0002-9661-0254
SPIN-code: 8592-0558
Cand. Sci. (Phys.-Math.)
Russian Federation, Moscow; MoscowReferences
- Islam N, Ebrahimzadeh S, Salameh JP, et al. Thoracic imaging tests for the diagnosis of COVID-19. Cochrane Database Syst Rev. 2021;3(3):CD013639. doi: 10.1002/14651858.CD013639.pub4
- Morozov SP, Chernina VY, Blokhin IA, Gombolevskiy V. Chest computed tomography for outcome prediction in laboratory-confirmed COVID-19: a retrospective analysis of 38,051 cases. Digital Diagnostics. 2020;1(1):27–36. doi: 10.17816/DD46791
- Prasad KN, Cole WC, Haase GM. Radiation protection in humans: extending the concept of as low as reasonably achievable (Alara) from dose to biological damage. BJR. 2004;77(914):97–99. doi: 10.1259/bjr/88081058
- Sakane H, Ishida M, Shi L, et al. Biological effects of low-dose chest CT on chromosomal DNA. Radiol. 2020;295(2):439–445. doi: 10.1148/radiol.2020190389
- Du Y, Lv Y, Zha W, et al. Association of body mass index (BMI) with critical COVID-19 and in-hospital mortality: a dose-response meta-analysis. Metabolism. 2021;117:154373. doi: 10.1016/j.metabol.2020.154373
- Ohana M, Ludes C, Schaal M, et al. Quel avenir pour la radiographie thoracique face au scanner ultra-low dose? Revue Pneumologie Clinique. 2017;73(1):3–12. doi: 10.1016/j.pneumo.2016.09.007
- Manowitz A, Sedlar M, Griffon M, et al. Use of BMI guidelines and individual dose tracking to minimize radiation exposure from low-dose helical chest CT scanning in a lung cancer screening program. Academ Radiol. 2012;19(1):84–88. doi: 10.1016/j.acra.2011.09.015
- Paul NS, Kashani H, Odedra D, et al. The influence of chest wall tissue composition in determining image noise during cardiac CT. Am J Roentgenol. 2011;197(6):1328–1334. doi: 10.2214/AJR.11.6816
- Blokhin I, Gombolevskiy V, Chernina V, et al. Inter-observer agreement between low-dose and standard-dose CT with soft and sharp convolution kernels in COVID-19 pneumonia. J Clin Med. 2022;11(3):669. doi: 10.3390/jcm11030669
- Morozov SP, Gombolevskiy VA, Elizarov AB, et al. A simplified cluster model and a tool adapted for collaborative labeling of lung cancer CT scans. Computer Methods Programs Biomed. 2021;206:106111. doi: 10.1016/j.cmpb.2021.106111
- Powell-Wiley TM, Poirier P, Burke LE, et al. Obesity and cardiovascular disease: a scientific statement from the American Heart Association. Circulation. 2021;143(21):e984–e1010. doi: 10.1161/CIR.0000000000000973
- The R Foundation. The R Project for Statistical Computing [Internet]. Available from: . Accessed: 15.03.2022.
- Fisher RA. XXI. ―On the dominance ratio. Proceedings Royal Soc Edinburgh. 1923;42:321–341. doi: 10.1017/S0370164600023993
- Levene H. Robust tests for equality of variances. In: Olkin I, Ghurye S, Hoeffding W, et al. Contributions to probability and statistics: essays in honor of harold hotelling. Standford University Press; 1961. Р. 279–292.
- Mosteller F. Data analysis and regression: a second course in statistics. Addison-Wesley Pub. Co., Boston; 1977. 588 p.
- Kubo T, Ohno Y, Nishino M, et al. Low dose chest CT protocol (50 mas) as a routine protocol for comprehensive assessment of intrathoracic abnormality. Eur J Radiol Open. 2016;3:86–94. doi: 10.1016/j.ejro.2016.04.001
- Silin АY, Gruzdev IS, Morozov SP. The influence of model iterative reconstruction on the image quality in standard and low-dose computer tomography of the chest. Experimental study. J Clin Pract. 2020;11(4):49–54. doi: 10.17816/clinpract34900
- Zhu Z, Ming ZX, Feng ZY, et al. Feasibility study of using gemstone spectral imaging (GSI) and adaptive statistical iterative reconstruction (ASIR) for reducing radiation and iodine contrast dose in abdominal CT patients with high BMI values. PLOS ONE. 2015;10(6):e0129201. doi: 10.1371/journal.pone.0129201
- Filatova DA, Sinitsin VE, Mershina EA. Opportunities to reduce the radiation exposure during computed tomography to assess the changes in the lungs in patients with COVID-19: use of adaptive statistical iterative reconstruction. Digital Diagnostics. 2021;2(2):94–104. doi: 10.17816/DD62477
- Lee SW, Kim Y, Shim SS, et al. Image quality assessment of ultra-low dose chest CT using sinogram-affirmed iterative reconstruction. Eur Radiol. 2014;24(4):817–826. doi: 10.1007/s00330-013-3090-9
Supplementary files









